Lebah adalah sahabat penting bagi petani dan manusia. Tanpa penyerbukan yang mereka lakukan, banyak tanaman pangan tidak akan menghasilkan buah atau biji dengan baik. Karena itu, para peneliti dan petani sering mencari cara untuk mendukung populasi lebah, baik lebah liar maupun lebah ternak (lebah madu dan lebah pekerja lainnya).
Salah satu cara yang banyak dikampanyekan adalah menanam wildflower plantings atau lahan bunga liar di sekitar area pertanian. Tujuannya jelas: menyediakan lebih banyak sumber makanan (nektar dan serbuk sari) serta tempat bersarang untuk lebah. Namun, sebuah penelitian terbaru yang dilakukan di Amerika Serikat memberikan hasil yang lebih rumit daripada sekadar “semakin banyak bunga = semakin baik untuk semua lebah”.
Penelitian di 19 Lahan Pertanian
Penelitian ini dilakukan dengan menaruh sarang buatan dua jenis lebah penting:
- Bombus impatiens (lebah bumble, spesies lebah sosial yang hidup berkoloni).
- Megachile rotundata (lebah potong-daun, spesies lebah soliter yang biasa digunakan dalam pertanian alfalfa dan tanaman lain).

Sarang buatan ini ditempatkan di 19 lahan pertanian di wilayah Mid-Atlantik, AS. Separuh dari lahan tersebut memiliki area tanam bunga liar, sementara separuh lainnya tidak. Dengan cara ini, peneliti bisa membandingkan langsung bagaimana keberadaan bunga liar memengaruhi reproduksi kedua jenis lebah ini.
Baca juga artikel tentang: Mengurangi Gas Rumah Kaca dari Sapi: Solusi Mengejutkan dari Ampas Kopi
Hasil Mengejutkan: Efek Berbeda pada Lebah Sosial dan Lebah Soliter
Hasilnya ternyata tidak sesederhana perkiraan awal.
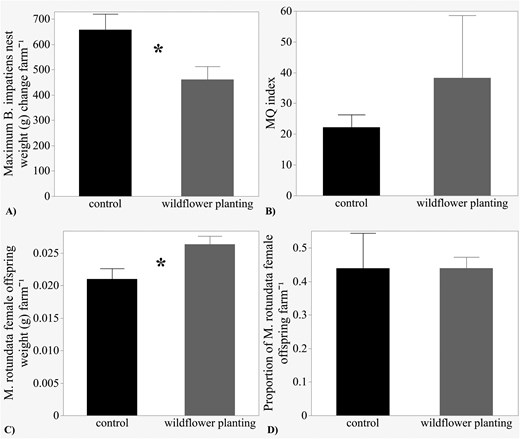
- Untuk lebah bumble (Bombus impatiens):
Koloni yang ditempatkan di lahan dengan bunga liar justru cenderung lebih kecil dan menghasilkan pekerja dengan berat badan lebih rendah. Lebih dari itu, lebah betina pekerja ditemukan terinfeksi spora Nosema, sejenis mikrosporidia (parasit mikroskopis), dalam jumlah yang jauh lebih tinggi di lahan dengan bunga liar dibandingkan lahan tanpa bunga liar. - Untuk lebah soliter (Megachile rotundata):
Sebaliknya, lebah potong-daun menunjukkan hasil positif. Lebah betina yang tumbuh di lahan dengan bunga liar lebih berat, dan anak-anak lebah (offspring) yang dihasilkan juga lebih sehat dibandingkan dengan lahan tanpa bunga liar.

Artinya, penanaman bunga liar membantu sebagian lebah, tetapi bisa merugikan yang lain.
Kenapa Bisa Terjadi Perbedaan?
Ada beberapa kemungkinan penjelasan:
- Persaingan antarspesies:
Lebah sosial seperti Bombus mungkin menghadapi kompetisi lebih besar untuk sumber daya di lahan dengan bunga liar, terutama ketika juga ada koloni lebah madu (Apis mellifera) di dekatnya. - Peningkatan risiko penyakit:
Bunga bisa berfungsi sebagai “stasiun transit” bagi patogen. Saat lebah bergantian mengunjungi bunga yang sama, spora penyakit seperti Nosema dapat dengan mudah berpindah dari satu individu ke individu lain. - Perbedaan kebutuhan reproduktif:
Lebah soliter seperti Megachile lebih diuntungkan oleh keberadaan bunga liar karena mereka mengumpulkan makanan hanya untuk keturunan mereka sendiri. Mereka tidak memiliki koloni besar, sehingga risiko penyebaran penyakit lebih kecil.
Implikasi untuk Peternak dan Petani
Bagi peternak lebah dan petani yang bergantung pada penyerbukan, hasil penelitian ini memberikan pesan penting: menanam bunga liar memang bermanfaat, tetapi tidak otomatis baik untuk semua spesies lebah.
- Untuk lebah soliter, strategi ini bisa meningkatkan keberhasilan reproduksi dan mendukung populasi jangka panjang.
- Namun, untuk lebah bumble dan mungkin juga lebah sosial lain, ada risiko peningkatan penyebaran penyakit yang harus dikelola dengan baik.
Apa yang Bisa Dilakukan?
- Diversifikasi habitat: Jangan hanya menanam satu jenis bunga liar, tetapi campurkan berbagai spesies yang mekar di waktu berbeda. Ini bisa mengurangi konsentrasi lebah di satu sumber makanan.
- Monitoring kesehatan lebah: Peternak lebah perlu melakukan pemeriksaan rutin untuk mendeteksi penyakit seperti Nosema, terutama jika lebah mereka ditempatkan dekat lahan bunga liar.
- Integrasi dengan manajemen lebah madu: Kehadiran koloni lebah madu yang besar bisa meningkatkan kompetisi dan risiko penyakit. Penataan lokasi perlu diperhatikan.
- Penelitian lanjutan: Diperlukan studi lebih dalam untuk memahami mekanisme penyebaran penyakit melalui bunga dan bagaimana meminimalkannya.
Penanaman bunga liar di lahan pertanian sering dipromosikan sebagai solusi untuk mendukung penyerbuk, dan memang benar ada manfaat nyata, terutama bagi lebah soliter. Namun, penelitian ini juga menunjukkan bahwa solusi ekologi tidak pernah sesederhana hitam-putih. Apa yang baik untuk satu spesies bisa jadi masalah bagi spesies lain.
Bagi dunia peternakan lebah dan pertanian, pelajaran yang bisa dipetik adalah pentingnya pendekatan berbasis ekosistem: mempertimbangkan interaksi antarspesies, risiko penyakit, dan kebutuhan spesifik tiap jenis lebah. Dengan cara itu, kita bisa menemukan keseimbangan antara menjaga produktivitas pertanian dan melindungi kesehatan penyerbuk yang menjadi pilar utama ekosistem pangan kita.
Baca juga artikel tentang: Silase: Solusi Pakan Ternak Masa Depan untuk Menyongsong Kemandirian Pangan
REFERENSI:
Angelella, Gina M dkk. 2025. On-farm wildflower plantings generate opposing reproductive outcomes for solitary and bumble bee species. Environmental Entomology 54 (3), 623-631.


