Rahasia Peternakan Sapi Zaman Purba: Bagaimana Hutan Jadi Lumbung Pakan

Ketika kita membayangkan kehidupan petani ribuan tahun lalu, sering kali gambaran yang muncul adalah ladang terbuka, peralatan sederhana, dan ternak yang merumput bebas di padang rumput luas. Namun, penelitian terbaru yang dipublikasikan di Nature Ecology & Evolution (2025) justru mengungkapkan cerita yang berbeda, terutama di kawasan hutan Eropa Tengah sekitar enam ribu tahun sebelum masehi.

Ternyata, para petani purba di sana tidak hanya bergantung pada padang rumput, tetapi juga sangat memanfaatkan hutan untuk memelihara sapi. Temuan ini mengubah cara kita memahami awal mula hubungan manusia dengan hewan ternak, serta bagaimana manusia beradaptasi dengan lingkungannya.

Bagi petani purba, hutan bukan sekadar tempat yang gelap dan misterius. Hutan menyediakan sumber daya yang melimpah: daun, ranting, semak, bahkan mineral alami dari tanah yang bisa dimanfaatkan sapi. Dengan kata lain, hutan berfungsi seperti “supermarket alami” bagi kebutuhan pakan ternak.

Tidak hanya itu, hutan juga menawarkan perlindungan. Di tengah iklim yang berubah-ubah, pohon-pohon lebat memberikan naungan dari panas matahari, perlindungan dari hujan, dan tempat berteduh di musim dingin. Dengan begitu, sapi-sapi yang dipelihara di dalam atau di pinggiran hutan bisa bertahan lebih baik.

Baca juga artikel tentang: Budidaya Walet: Cara Baru Desa Mengubah Alam Jadi Peluang Ekonomi yang Menjanjikan

Bukti dari Jejak Zaman Purba

Untuk mengungkap bagaimana praktik peternakan ini berlangsung, para ilmuwan menganalisis berbagai data:

  • Sisa tulang hewan yang ditemukan di situs arkeologi.
  • Pecahan tembikar yang mengandung sisa lemak susu atau daging.
  • Isotop stabil dari tulang dan gigi, yang bisa memberi petunjuk tentang jenis makanan yang dimakan sapi.

Hasil analisis menunjukkan bahwa sapi purba tidak hanya makan rumput biasa, tetapi juga pakan yang berasal dari tumbuhan hutan. Artinya, hutan benar-benar berperan penting dalam sistem peternakan kala itu.

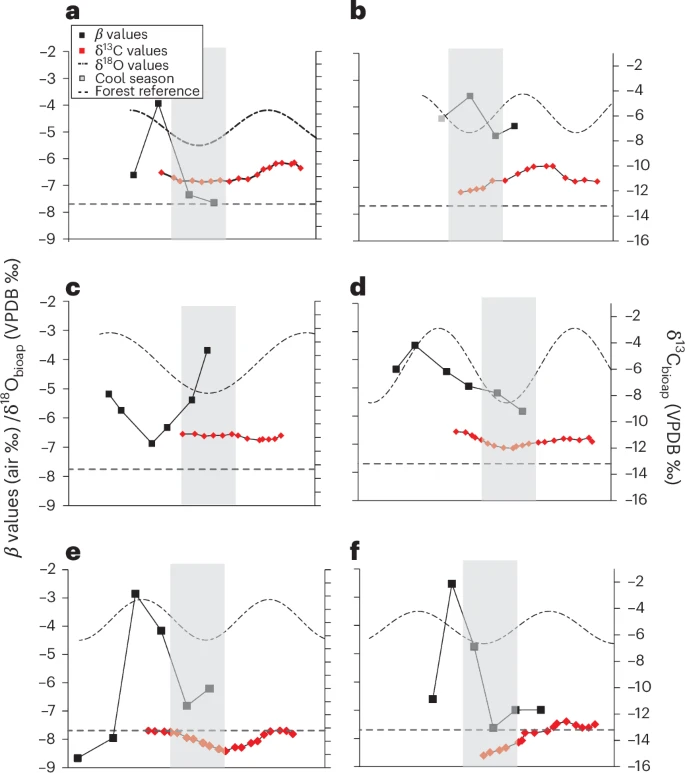
Model pola penggembalaan dan diet sapi LBK sepanjang musim dengan mengacu pada isotop stabil, menunjukkan variasi rasio isotop oksigen dan karbon akibat perbedaan pakan hutan atau padang rumput serta praktik pemeliharaan seperti kelahiran musim semi, laktasi musim panas, dan pemotongan musim gugur.

Penelitian ini juga mengungkap bahwa tidak ada satu cara tunggal dalam memelihara sapi. Petani purba menggunakan berbagai strategi, tergantung kondisi lingkungan sekitar mereka.

  1. Penggembalaan di hutan – Sapi dilepas untuk mencari makan sendiri di dalam hutan.
  2. Pakan musiman – Daun, ranting, atau hasil hutan lain dipanen lalu disimpan untuk musim dingin ketika rumput sulit ditemukan.
  3. Kombinasi ladang dan hutan – Di beberapa daerah, sapi digembalakan di ladang terbuka pada musim hangat, lalu dipindahkan ke area hutan saat cuaca lebih ekstrem.

Strategi ini menunjukkan betapa fleksibelnya para petani purba dalam beradaptasi dengan lingkungan mereka. Mereka tidak sekadar “menunggu alam”, tetapi aktif mengatur cara memberi makan ternak agar tetap produktif sepanjang tahun.

Dampaknya bagi Manusia

Mengapa hal ini penting? Jawabannya sederhana: sapi adalah sumber kehidupan.

Dari sapi, masyarakat purba mendapatkan:

  • Susu, yang bisa langsung diminum atau diolah jadi keju sederhana.
  • Daging, meskipun mungkin tidak sesering sekarang karena sapi juga dipelihara sebagai “aset hidup”.
  • Tenaga kerja, untuk menarik alat bajak atau mengangkut hasil panen.
  • Kotoran, yang dipakai sebagai pupuk alami.

Dengan memanfaatkan hutan sebagai sumber pakan, sapi-sapi purba bisa tumbuh lebih sehat dan produktif. Itu berarti lebih banyak susu dan daging untuk manusia, sekaligus memperkuat ketahanan pangan di masa lalu.

Nilai isotop bioapatit δ¹³C, δ¹⁸O, dan β dentin dari gigi geraham sapi untuk merekonstruksi pola makan dan kondisi musim selama pertumbuhan gigi, dengan δ¹⁸O menunjukkan musim dingin dan δ¹³C/β mengindikasikan jenis pakan yang dikonsumsi.

Namun, praktik ini juga membawa konsekuensi. Ketika semakin banyak hutan digunakan untuk menggembalakan sapi, terjadi perubahan besar pada ekosistem hutan itu sendiri. Beberapa spesies tanaman berkurang, sementara rumput dan tumbuhan yang disukai sapi berkembang lebih banyak. Ini adalah contoh awal bagaimana manusia, hewan, dan lingkungan saling memengaruhi secara dinamis.

Peneliti menekankan bahwa perubahan ini bukan hanya soal hewan ternak, tapi juga soal transformasi lanskap. Apa yang dilakukan petani purba telah membentuk ekosistem hutan Eropa hingga ribuan tahun kemudian.

Pelajaran untuk Masa Kini

Mungkin Anda bertanya, “Apa hubungannya dengan peternakan modern?” Jawabannya: banyak sekali.

Hari ini, isu keberlanjutan (sustainability) menjadi perhatian utama dalam peternakan. Kita berhadapan dengan tantangan besar seperti:

  • Emisi gas rumah kaca dari ternak.
  • Hilangnya keanekaragaman hayati akibat perluasan lahan pertanian.
  • Kebutuhan pangan global yang terus meningkat.

Dengan belajar dari masa lalu, kita bisa menemukan inspirasi untuk masa depan. Petani purba berhasil memanfaatkan ekosistem hutan secara cerdas untuk mendukung ternak mereka, tanpa pakan impor atau teknologi canggih. Konsep integrasi antara peternakan dan lingkungan inilah yang kini kembali digaungkan dalam praktik pertanian berkelanjutan.

Bayangkan Jika…

Coba bayangkan sejenak: enam ribu tahun lalu, seorang petani di Eropa Tengah bangun pagi, lalu membawa sapinya ke hutan terdekat. Ia tahu persis pohon mana yang daunnya disukai sapi, atau bagian hutan mana yang aman untuk merumput. Saat musim dingin tiba, ia sudah menyiapkan ranting kering dan dedaunan yang dipanen beberapa bulan sebelumnya.

Tanpa sadar, ia sedang menjalankan sistem yang sangat mirip dengan konsep agroforestri modern – yaitu menggabungkan pertanian dengan pengelolaan hutan untuk keuntungan bersama manusia, hewan, dan lingkungan.

Penelitian tentang strategi pemeliharaan sapi purba ini memberi kita cermin untuk melihat jauh ke belakang sekaligus menatap ke depan. Ia menunjukkan bahwa hubungan antara manusia, hewan ternak, dan lingkungan selalu rumit, penuh tantangan, tapi juga penuh peluang.

Seperti halnya petani purba yang belajar beradaptasi dengan hutan, kita pun di era modern harus belajar mengelola sumber daya dengan bijak. Bukan hanya demi hasil ternak yang lebih baik, tetapi juga demi keberlanjutan bumi yang kita tinggali bersama.

Petani purba Eropa Tengah enam ribu tahun lalu memanfaatkan hutan sebagai sumber utama pakan dan perlindungan sapi, dengan strategi pemeliharaan yang beragam dan adaptif. Praktik ini meningkatkan hasil susu dan daging, sekaligus mengubah lanskap hutan. Kisah mereka memberi inspirasi bagi peternakan modern untuk kembali menekankan harmoni antara ternak, manusia, dan alam.

Baca juga artikel tentang: Pakan Ternak Lokal, Harapan Besar Peternakan Unggas Berkelanjutan

REFERENSI:

Gillis, Rosalind E dkk. 2025. Diverse prehistoric cattle husbandry strategies in the forests of Central Europe. Nature Ecology & Evolution 9 (1), 87-98.

Leave a Comment

Alamat email Anda tidak akan dipublikasikan. Ruas yang wajib ditandai *

Scroll to Top