Menghadapi 2050: Saat Kotoran Ternak Jadi Penentu Keberlanjutan Pangan

Ketika mendengar kata “kotoran ternak”, sebagian besar dari kita mungkin langsung berpikir soal bau tak sedap atau sesuatu yang menjijikkan. Padahal, di balik itu semua, kotoran sapi, ayam, babi, dan hewan ternak lainnya menyimpan cerita besar tentang masa depan pangan dan lingkungan.
Sebuah studi terbaru di Tiongkok mencoba menelusuri jejak perjalanan pengelolaan kotoran ternak dari tahun 1949 hingga prediksi ke tahun 2050. Hasilnya cukup mengejutkan: jika tidak ada perubahan cara pengelolaan, lebih dari 50% nutrien dan 80% polutan dari kotoran ternak akan terbuang ke lingkungan.

Angka ini bukan sekadar statistik, tapi peringatan tentang dampak nyata terhadap tanah, air, udara, dan tentu saja kesehatan manusia.

Baca juga artikel tentang: Lebih dari Sekadar Sawah: Bagaimana Peternakan Itik Membantu Petani Lawan Hama dan Hemat Pupuk

Kotoran Ternak: Nutrisi Sekaligus Polusi

Kotoran ternak sebenarnya mengandung banyak hal yang bermanfaat. Ada nitrogen, fosfor, dan berbagai zat lain yang bisa dipakai untuk menyuburkan tanaman. Namun, jika jumlahnya terlalu banyak dan tidak dikelola dengan baik, zat-zat itu justru berubah menjadi polutan.
Sebagai contoh:

  • Nitrogen berlebih bisa mencemari air tanah, menyebabkan gangguan kesehatan jika air itu diminum.
  • Fosfor berlebih bisa memicu ledakan pertumbuhan alga di sungai atau danau, membuat ekosistem air jadi sekarat.
  • Kotoran ternak juga membawa jejak antibiotik, logam berat, dan mikroplastik yang berbahaya jika terus menumpuk di lingkungan.

Jadi, satu sisi kita punya pupuk alami yang berharga, tapi di sisi lain ada risiko pencemaran serius. Inilah dilema besar dalam dunia peternakan modern.

Diagram siklus hidup kotoran ternak dari tahap produksi, pengumpulan, hingga pemanfaatan, menunjukkan bagaimana berbagai metode pengelolaan dapat mengurangi atau menyalurkan polutan ke lahan, air, udara, atau dimanfaatkan kembali secara berkelanjutan.

Studi ini menelusuri bagaimana Tiongkok, negara dengan populasi ternak sangat besar, mengelola kotoran sejak 1949. Pada awalnya, kotoran banyak dimanfaatkan langsung di lahan pertanian sebagai pupuk. Namun, seiring meningkatnya jumlah ternak, kotoran yang dihasilkan melonjak tajam, sementara lahan untuk menyerapnya terbatas.
Hasil analisis menunjukkan, jika pola lama terus dipertahankan, pada tahun 2050 sistem peternakan Tiongkok akan menghadapi tekanan berat:

  • Nutrien terbuang percuma yang seharusnya bisa jadi pupuk.
  • Pencemaran meluas yang membahayakan keberlanjutan produksi pangan.

Artinya, kotoran ternak bukan hanya soal bau kandang, tapi soal keberlanjutan sistem pangan untuk miliaran orang.

Strategi “3R”: Mengurangi, Mengendalikan, Mendaur Ulang

Untuk mengatasi masalah ini, pemerintah Tiongkok mengusulkan strategi 3R (Reducing, Controlling, Recycling).

  • Mengurangi: memberi pakan ternak dengan formula yang lebih tepat agar nutrien dalam kotoran lebih sedikit.
  • Mengendalikan: mencegah kotoran langsung mencemari air atau tanah dengan sistem pengelolaan khusus.
  • Mendaur Ulang: memanfaatkan kotoran sebagai pupuk organik atau sumber energi (biogas).

Namun, penelitian menunjukkan bahwa meski gagasan ini bagus, penerapan nyatanya masih jauh dari ideal. Butuh teknologi baru dan kebijakan yang lebih ketat agar strategi ini benar-benar berhasil.

Solusi Berbasis Teknologi: Dari Biogas hingga Pakan Pintar

Ada beberapa inovasi yang bisa membantu mengubah masalah menjadi peluang:

  1. Biogas dari kotoran ternak
    Dengan teknologi fermentasi, kotoran bisa diubah menjadi gas metana yang dipakai untuk bahan bakar memasak atau listrik. Selain mengurangi polusi, peternak juga mendapat tambahan energi murah.
  2. Pupuk organik berkualitas tinggi
    Alih-alih dibuang begitu saja, kotoran bisa diproses menjadi pupuk padat atau cair yang lebih aman dan efektif untuk pertanian.
  3. Formula pakan ramah lingkungan
    Dengan menyesuaikan kandungan pakan, nutrisi dalam kotoran bisa dikurangi. Misalnya, menambahkan enzim tertentu agar ternak lebih efisien mencerna protein, sehingga nitrogen yang keluar lewat kotoran lebih sedikit.
  4. Sistem integrasi tanaman-ternak
    Kotoran ternak digunakan sebagai pupuk tanaman, sementara limbah tanaman dipakai kembali sebagai pakan. Pola ini menciptakan siklus yang saling melengkapi, dikenal dengan istilah crop-livestock coupling.
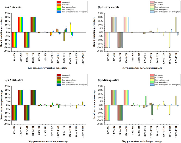
Grafik variasi parameter kunci memengaruhi distribusi nutrien, logam berat, antibiotik, dan mikroplastik, dengan sebagian besar peningkatan atau penurunan terjadi pada pelepasan ke atmosfer, hidrosfer, dan pedosfer, sehingga mencerminkan dampak lingkungan dari sistem produksi ternak.

Mengelola kotoran ternak dengan bijak bukan hanya urusan pemerintah atau ilmuwan, tapi juga menyangkut kehidupan sehari-hari:

  • Bagi peternak, pengelolaan kotoran yang baik bisa mengurangi biaya, meningkatkan nilai tambah (misalnya lewat biogas atau pupuk), dan mengurangi risiko denda akibat pencemaran.
  • Bagi konsumen, hasilnya adalah daging, susu, dan telur yang lebih “bersih”, sehat, dan ramah lingkungan.
  • Bagi lingkungan, pengelolaan kotoran yang tepat berarti air sungai lebih jernih, udara lebih segar, dan tanah lebih subur.

Dengan kata lain, mengubah cara pandang terhadap kotoran ternak bisa membantu menciptakan sistem pangan yang lebih adil dan berkelanjutan.

Menatap 2050: Dari Ancaman Jadi Harapan

Prediksi menunjukkan bahwa tantangan akan semakin berat jika tidak ada langkah nyata. Namun, di sisi lain, masa depan juga menyimpan harapan. Dengan kombinasi kebijakan tepat, teknologi baru, dan kesadaran masyarakat, kotoran ternak bisa beralih peran: dari sumber polusi menjadi sumber solusi.

Bayangkan jika setiap peternakan bisa menghasilkan listrik sendiri dari biogas, atau jika setiap tetes kotoran ternak kembali ke tanah dalam bentuk pupuk organik yang sehat. Itu bukan sekadar impian, tapi peluang nyata yang bisa diwujudkan.

Kotoran ternak mungkin selama ini dianggap masalah, tapi penelitian di Tiongkok menunjukkan bahwa ia juga bisa jadi kunci masa depan pangan yang berkelanjutan. Tantangannya besar, dari pencemaran hingga kesehatan manusia, tapi solusi juga ada: teknologi, kebijakan, dan pola pikir baru.

Jadi, lain kali ketika mencium bau kandang sapi, ingatlah: itu bukan sekadar bau tak sedap, melainkan bagian dari pertarungan besar untuk menjaga bumi tetap sehat sambil memberi makan miliaran manusia.

Baca juga artikel tentang: Peternakan Kelinci Berkelanjutan: Manfaat Allicin, Likopen, Vitamin E & C

REFERENSI:

Tan, Tao dkk. 2025. Evaluating the nutrient and pollutant flows of the Chinese livestock manure management system from 1949 to 2050. Resources, Conservation and Recycling 215, 108092.

Leave a Comment

Alamat email Anda tidak akan dipublikasikan. Ruas yang wajib ditandai *

Scroll to Top