Fosfor adalah salah satu mineral penting dalam kehidupan hewan dan manusia. Ia berperan dalam pembentukan tulang, metabolisme energi, hingga fungsi sel. Dalam dunia peternakan, fosfor biasanya diberikan melalui pakan agar hewan ternak tumbuh sehat dan produktif. Namun, masalahnya tidak sesederhana itu.
Banyak sumber fosfor dalam pakan berasal dari fitat atau inositol fosfat (InsPₓ) senyawa alami yang ada dalam biji-bijian dan bahan nabati. Walau jumlahnya melimpah, fosfor dalam bentuk ini sulit dicerna hewan ruminansia (sapi, kambing) maupun non-ruminansia (ayam, babi, ikan). Akibatnya, sebagian besar fosfor terbuang melalui kotoran. Limbah fosfor ini bisa mencemari lingkungan, memicu pertumbuhan alga berlebih di perairan (eutrofikasi), dan mengganggu keseimbangan ekosistem.
Maka, para ilmuwan dan peternak sama-sama menghadapi tantangan: bagaimana cara mengetahui bentuk fosfor apa saja yang terkandung dalam pakan, serta seberapa banyak yang benar-benar bisa dimanfaatkan hewan?
Baca juga artikel tentang: Ikan Budidaya Lebih Bersih: Peluang Besar untuk Peternak Ikan Masa Depan
Mengapa Sulit Menganalisis Inositol Fosfat?
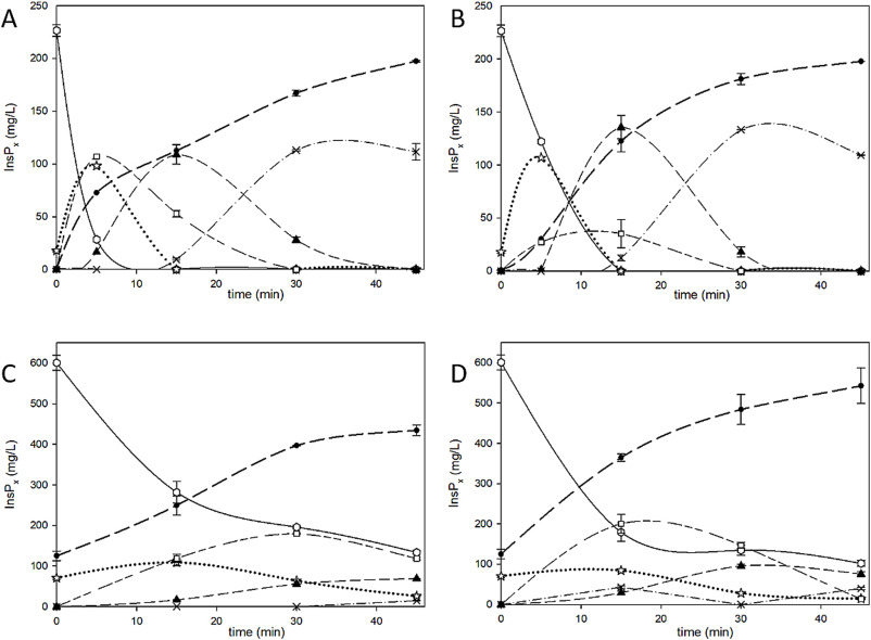
Seperti mencari jarum dalam jerami, mendeteksi berbagai jenis inositol fosfat tidaklah mudah. Senyawa ini memiliki banyak bentuk (isomer), dari InsP₆ (fitat penuh) hingga turunannya InsP₅, InsP₄, dan seterusnya. Setiap bentuk punya sifat kimia yang berbeda, sehingga sulit dipisahkan dan diukur dengan metode konvensional.
Selama ini, banyak analisis bergantung pada teknik kimia yang rumit, butuh waktu lama, dan kadang menghasilkan data yang kurang akurat. Akibatnya, kita tidak benar-benar tahu seberapa besar kandungan fosfor “terkunci” di dalam bahan pakan.
Teknologi Baru: IC-ICP-OES
Di sinilah riset terbaru yang dipublikasikan di Food Chemistry (2025) menawarkan terobosan. Para peneliti mengembangkan metode gabungan bernama Ion Chromatography – Inductively Coupled Plasma Optical Emission Spectrometry (IC-ICP-OES).
Mari kita sederhanakan:
- Ion Chromatography (IC) berfungsi memisahkan berbagai bentuk inositol fosfat, ibarat memisahkan benang kusut menjadi helai-helai rapi.
- ICP-OES kemudian “membaca” jejak fosfor pada setiap helai dengan mendeteksi cahaya yang dipancarkan atom fosfor ketika terekspos plasma bersuhu sangat tinggi.
Dengan kombinasi ini, para peneliti berhasil memisahkan 28 jenis isomer InsPₓ hanya dalam waktu 33 menit. Bandingkan dengan metode lama yang bisa memakan waktu berjam-jam!

Keterangan gambar: • = Pi + InsP 1 , x = InsP 2 , Δ = InsP 3 , □ = InsP 4 , ✩ = InsP 5 ,Gambar 1 = InsP 6 .
Apa Keunggulannya?
Beberapa kelebihan metode IC-ICP-OES antara lain:
- Sensitif dan akurat – dapat mendeteksi fosfor hingga konsentrasi sangat rendah (63 µg/L).
- Cepat – seluruh jenis inositol fosfat bisa dipetakan dalam waktu singkat.
- Serbaguna – bisa digunakan untuk berbagai jenis sampel makanan dan pakan, bahkan yang kompleks.
- Reproduksibilitas tinggi – hasilnya konsisten baik dilakukan berulang kali dalam sehari (intra-day) maupun antar-laboratorium.
- Efisiensi tinggi – tidak butuh tahap tambahan yang biasanya mempersulit analisis, seperti derivatisasi pasca-kolom.
Dengan teknologi ini, peternak dan peneliti bisa lebih cepat tahu berapa banyak fosfor yang benar-benar tersedia bagi hewan, dan berapa banyak yang akan terbuang.
Dampak bagi Peternakan
Mengapa hal ini penting untuk peternakan? Ada beberapa alasan:
- Pakan lebih efisien
Dengan mengetahui kandungan InsPₓ, pakan bisa diformulasikan lebih tepat. Misalnya, jika pakan tinggi fitat yang sulit dicerna, peternak bisa menambahkan enzim fitase agar fosfor bisa diserap hewan. - Mengurangi biaya
Fosfor anorganik (seperti dicalcium phosphate) adalah salah satu komponen pakan termahal. Jika ketersediaan fosfor alami bisa dioptimalkan, biaya pembelian suplemen fosfor bisa ditekan. - Lingkungan lebih bersih
Fosfor yang tidak tercerna akan keluar bersama kotoran. Jika jumlahnya banyak, bisa mencemari tanah dan air. Analisis yang akurat membantu mencegah kelebihan fosfor dalam ransum, sehingga mengurangi pencemaran. - Produktivitas ternak meningkat
Fosfor yang cukup mendukung pertumbuhan, produksi susu, kesehatan tulang, serta sistem reproduksi. Dengan manajemen fosfor yang tepat, hewan lebih sehat dan hasil ternak lebih optimal.
Hubungan dengan Keamanan Pangan
Tak hanya untuk hewan, penelitian ini juga berdampak pada manusia. Banyak bahan makanan kita juga mengandung inositol fosfat. Pada manusia, fitat sering disebut sebagai “anti-nutrisi” karena mengikat mineral penting seperti zat besi, kalsium, dan seng, sehingga mengurangi penyerapannya.
Dengan teknologi analisis baru, ahli gizi dapat memahami seberapa besar pengaruh fitat dalam makanan sehari-hari, lalu memberikan rekomendasi diet yang lebih tepat.
Tantangan dan Masa Depan
Meski menjanjikan, penerapan IC-ICP-OES masih menghadapi tantangan, terutama biaya peralatan yang mahal dan butuh tenaga ahli untuk mengoperasikannya. Namun, jika semakin banyak laboratorium peternakan dan pangan yang mengadopsi teknologi ini, biayanya akan menurun seiring waktu.
Di masa depan, analisis cepat seperti ini bisa menjadi standar dalam industri pakan. Bayangkan jika setiap pabrik pakan dapat memeriksa kualitas fosfor dengan akurat, formulasi pakan akan jauh lebih presisi, biaya produksi menurun, lingkungan lebih terjaga, dan peternak pun diuntungkan.
Fosfor adalah nutrien penting yang sering tersembunyi dalam bentuk sulit dicerna di pakan ternak. Selama ini, kita sulit mengukur dengan tepat seberapa besar fosfor yang benar-benar tersedia. Teknologi IC-ICP-OES memberi solusi modern untuk memetakan inositol fosfat dengan cepat, akurat, dan efisien.
Dampaknya sangat luas: meningkatkan efisiensi pakan, mengurangi biaya, menjaga lingkungan, dan mendukung kesehatan hewan. Lebih jauh lagi, teknologi ini juga membuka jalan menuju sistem pangan yang lebih berkelanjutan dan aman bagi manusia.
Dengan kata lain, di balik kerumitan sains laboratorium, tersimpan janji besar bagi masa depan peternakan dan pangan dunia.
Baca juga artikel tentang: Inovasi Marikultur: Membawa Lobster, Bawal, dan Abalon ke Puncak Pasar Global
REFERENSI:
Henninger, Corinna dkk. 2025. Ion chromatography coupled with optical emission spectrometry (IC-ICP-OES) methodology for the analysis of inositol phosphates in food and feed. Food Chemistry 463, 141437.


