Kolam yang Tercemar Obat: Dampak Jangka Panjang bagi Manusia dan Lingkungan

Saat kita membeli ikan di pasar, biasanya harapan kita sederhana: ikan tersebut segar, bergizi, dan aman dimakan. Namun, sebuah penelitian terbaru di Bangladesh menunjukkan fakta yang cukup mengkhawatirkan. Banyak ikan yang dijual untuk konsumsi masyarakat ternyata mengandung sisa-sisa obat antibiotik, meskipun dalam kadar yang rendah.

Antibiotik sering diberikan dalam budidaya ikan untuk mencegah penyakit atau mempercepat pertumbuhan. Masalahnya, sebagian zat ini bisa tertinggal dalam tubuh ikan, dan tidak hilang meskipun ikannya terlihat segar atau sudah dimasak.

Mungkin ada yang berpikir: “Kalau kadarnya kecil, bukankah aman?” Sayangnya, tidak sesederhana itu. Walaupun jumlahnya rendah, paparan antibiotik dalam jangka panjang bisa menimbulkan dampak serius. Salah satu yang paling berbahaya adalah munculnya masalah resistensi antimikroba (antimicrobial resistance/AMR).

AMR terjadi ketika bakteri menjadi kebal terhadap antibiotik. Akibatnya, penyakit yang seharusnya mudah disembuhkan menjadi sulit diatasi, bahkan berpotensi mematikan. Masalah ini bukan hanya soal kesehatan hewan, tetapi juga bisa memengaruhi kesehatan manusia, keamanan pangan, hingga lingkungan.

Dengan kata lain, meskipun ikan yang kita beli terlihat segar, ada ancaman tersembunyi yang perlu diwaspadai jika penggunaan antibiotik dalam budidaya ikan tidak diawasi dengan baik.

Dalam budidaya ikan, antibiotik sering dipakai untuk dua tujuan utama:

  1. Mengobati ikan yang sakit, terutama akibat infeksi bakteri.
  2. Mencegah penyakit, dengan cara memberikan obat dalam jumlah kecil secara rutin agar ikan tetap sehat.

Sekilas, penggunaan antibiotik terdengar bermanfaat. Namun, bila tidak dikelola dengan bijak, residu atau sisa obat bisa tertinggal dalam tubuh ikan yang kemudian dikonsumsi manusia.

Baca juga artikel tentang: Airborne Transmission: Puzzle Baru Penyebaran Flu Burung di Peternakan

Temuan penelitian

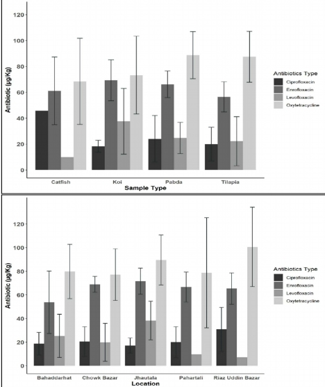
Penelitian ini meneliti empat jenis ikan yang banyak dijual di pasar Bangladesh, yaitu:

  • Nila (Oreochromis aureus)
  • Lele lokal atau stinging catfish (Heteropneustes fossilis)
  • Climbing perch (Anabas testudineus)
  • Ikan pabda (Ompok pabda)

Setiap jenis ikan diuji 100 sampel menggunakan metode laboratorium canggih seperti Thin Layer Chromatography dan Ultra High-Performance Liquid Chromatography. Hasilnya cukup mengejutkan: hampir semua jenis ikan mengandung residu antibiotik dalam berbagai tingkat.

Tingkat konsentrasi residu antibiotik yang berbeda berdasarkan jenis ikan.

Beberapa temuan penting:

  • Ciprofloxacin paling banyak ditemukan pada ikan nila (42%).
  • Oxytetracycline tinggi pada ikan pabda (41%).
  • Chlortetracycline mencapai 49% pada ikan nila.
  • Beberapa lokasi menunjukkan kadar yang lebih tinggi, misalnya di Jhawalata market, dengan 27,5% ikan mengandung Levofloxacin dan 53,8% mengandung Chlortetracycline.

Bahaya tersembunyi: Resistensi antimikroba

Mungkin muncul pertanyaan: kalau kadarnya kecil, bukankah itu aman?
Penelitian memang menunjukkan bahwa kadar residu antibiotik masih di bawah ambang batas toksik, artinya tidak langsung menimbulkan keracunan bila dikonsumsi. Namun, masalah utamanya bukan pada keracunan, melainkan pada resistensi antimikroba (AMR).

AMR terjadi ketika bakteri menjadi kebal terhadap antibiotik. Jika kondisi ini terus berlanjut, obat yang biasanya efektif untuk menyembuhkan penyakit bisa jadi tidak berguna lagi. Akibatnya, infeksi sederhana pun berpotensi menjadi penyakit yang mematikan.

Organisasi Kesehatan Dunia (WHO) sudah lama memperingatkan bahwa resistensi antimikroba adalah salah satu ancaman kesehatan terbesar di abad ini. Setiap tahun, jutaan orang berisiko kehilangan nyawa karena infeksi yang tidak bisa lagi diobati akibat resistensi antibiotik.

Lingkungan juga terdampak

Sisa antibiotik dalam budidaya ikan bukan hanya berakhir di tubuh manusia, tetapi juga bisa mencemari lingkungan. Air kolam atau sungai yang tercemar antibiotik akan memengaruhi ekosistem akuatik, membunuh mikroorganisme penting, dan mempercepat penyebaran bakteri resisten di alam liar.

Akibatnya, bukan hanya ikan budidaya yang terpengaruh, tetapi juga ikan liar dan hewan akuatik lain.

Bagaimana kondisi ini bisa terjadi?

Ada beberapa faktor yang membuat masalah residu antibiotik ini marak di Bangladesh:

  1. Penggunaan obat tanpa resep – Banyak peternak ikan membeli antibiotik secara bebas tanpa konsultasi dengan ahli.
  2. Kurangnya pengawasan pemerintah – Regulasi penggunaan antibiotik di sektor perikanan masih lemah.
  3. Pengetahuan terbatas petani ikan – Sebagian besar peternak tidak memahami dampak jangka panjang penggunaan antibiotik.
  4. Tingginya permintaan ikan – Untuk memenuhi kebutuhan pasar yang terus meningkat, banyak peternak tergoda menggunakan antibiotik agar ikan cepat tumbuh dan tidak mudah sakit.

Apa yang bisa dilakukan?

Untuk mengatasi masalah ini, para peneliti dan pakar menyarankan beberapa langkah penting:

  1. Pendidikan bagi petani ikan – Memberikan pelatihan tentang cara budidaya yang baik tanpa ketergantungan pada antibiotik.
  2. Penerapan biosekuriti – Meningkatkan kebersihan kolam, kualitas air, dan pakan agar ikan lebih tahan penyakit.
  3. Alternatif pengobatan – Menggunakan vaksin ikan atau probiotik yang lebih ramah lingkungan.
  4. Pengawasan lebih ketat – Pemerintah perlu menetapkan regulasi jelas dan melakukan tes rutin pada ikan yang dijual di pasar.
  5. Kesadaran konsumen – Masyarakat juga bisa ikut berperan dengan memilih ikan dari sumber yang terpercaya.

Pelajaran bagi negara lain

Walaupun penelitian ini dilakukan di Bangladesh, masalah serupa sebenarnya juga bisa terjadi di banyak negara lain, termasuk Indonesia. Budidaya ikan adalah sektor yang berkembang pesat untuk memenuhi kebutuhan protein masyarakat. Namun, bila tidak dikelola dengan hati-hati, penggunaan antibiotik bisa menjadi bumerang yang mengancam kesehatan manusia, hewan, dan lingkungan.

Ikan adalah sumber makanan yang penting bagi jutaan orang, kaya akan protein, omega-3, dan berbagai nutrisi lain. Namun, penelitian terbaru di Bangladesh memberi peringatan keras bahwa di balik ikan segar di pasar, bisa saja tersembunyi ancaman berupa residu antibiotik.

Masalah ini tidak bisa diabaikan. Resistensi antimikroba adalah ancaman global, dan sektor perikanan harus menjadi bagian dari solusi, bukan sumber masalah baru. Dengan edukasi, regulasi, dan inovasi, budidaya ikan bisa tetap menjadi sumber pangan sehat dan aman bagi generasi mendatang.

Baca juga artikel tentang: Probiotik dan Herbal, Duo Ajaib Penjaga Kesehatan Ikan Mas

REFERENSI:

Nayem, Md Raihan Khan dkk. 2025. High prevalence of low-concentration antimicrobial residues in commercial fish: A public health concern in Bangladesh. PloS one 20 (5), e0324263.

Leave a Comment

Alamat email Anda tidak akan dipublikasikan. Ruas yang wajib ditandai *

Scroll to Top