Alternaria Mycotoxins, Ancaman Senyap pada Pakan Ternak dan Keamanan Pangan Kita

Ketika kita berbicara tentang makanan sehat, yang terbayang biasanya adalah kandungan gizi, vitamin, atau mineral. Namun, ada satu musuh kecil yang jarang terlihat tetapi bisa sangat berbahaya: racun jamur atau yang dikenal dengan istilah mycotoxins.

Salah satu jenis racun jamur yang semakin banyak mendapat perhatian adalah Alternaria mycotoxins. Racun ini berasal dari jamur Alternaria, yang sering ditemukan pada tanaman pangan seperti tomat, gandum, sereal, bahkan sayuran lain yang kita konsumsi sehari-hari. Bagi peternakan, racun ini juga bisa mencemari pakan ternak sehingga memengaruhi kesehatan hewan dan pada akhirnya berdampak pada manusia sebagai konsumen daging, susu, maupun telur.

Jamur Alternaria adalah salah satu jenis jamur yang mudah tumbuh pada tanaman yang lembap atau disimpan dalam kondisi tidak ideal. Dari jamur ini, terbentuklah zat kimia beracun yang disebut mycotoxins.

Dua jenis yang paling sering ditemukan adalah:

  • Tenuazonic acid (TeA) – paling banyak terdeteksi dengan konsentrasi tinggi.
  • Alternariol (AOH) – sering muncul pada produk gandum, biji-bijian, dan tomat.

Masalahnya, racun ini tahan panas. Jadi meskipun bahan pangan diproses, dimasak, atau dipanaskan, racun tetap bertahan. Artinya, risiko paparan tetap ada meskipun makanan sudah matang.

Baca juga artikel tentang: Inovasi Marikultur: Membawa Lobster, Bawal, dan Abalon ke Puncak Pasar Global

Dampak pada Kesehatan

Menurut tinjauan ilmiah terbaru, Alternaria mycotoxins memiliki berbagai efek negatif terhadap tubuh, antara lain:

  • Karsinogenik – berpotensi memicu kanker.
  • Imunotoksik – melemahkan sistem kekebalan tubuh.
  • Sitotoksik – merusak sel tubuh.
  • Genotoksik – merusak materi genetik (DNA).

Yang lebih mengkhawatirkan, anak-anak termasuk kelompok yang paling rentan karena tubuh mereka lebih kecil sehingga toleransi terhadap racun ini lebih rendah.

Jalur paparan toksin Alternaria dari pakan dan bahan pangan ke produk hewani, yang dapat menimbulkan berbagai bahaya kesehatan seperti imunotoksisitas, genotoksisitas, estrogenisitas, embriotoksisitas, karsinogenisitas, serta gangguan gastrointestinal dan sintesis protein.

Dampak pada Peternakan

Bagi peternakan, adanya Alternaria mycotoxins dalam pakan membawa risiko besar:

  1. Penurunan nafsu makan pada hewan ternak.
  2. Gangguan pertumbuhan sehingga produktivitas berkurang.
  3. Penurunan kualitas produk – misalnya susu atau daging bisa terkontaminasi.
  4. Kerugian ekonomi karena ternak tidak bisa tumbuh optimal.

Dengan kata lain, masalah ini bukan hanya menyangkut kesehatan hewan, tetapi juga langsung berdampak pada kantong peternak dan keamanan pangan bagi manusia.

Konsentrasi berbagai mikotoksin Alternaria (AOH, AME, TEA, TEN, ALT, ATX-I, ALS) pada tomat segar, tomat olahan, serta produk mentah dan olahan, dengan TEA dan TEN terdeteksi paling tinggi dibanding mikotoksin lainnya.

Berbeda dengan bakteri yang bisa mati dengan antibiotik atau panas, mycotoxins justru sangat stabil. Sekali terbentuk di dalam bahan pangan atau pakan, mereka sulit hilang. Bahkan proses pemasakan, penggilingan, atau fermentasi sering tidak mampu sepenuhnya mengurangi kandungan racun.

Inilah yang membuat pencegahan menjadi jauh lebih penting dibanding sekadar mencoba menghilangkan setelah terkontaminasi.

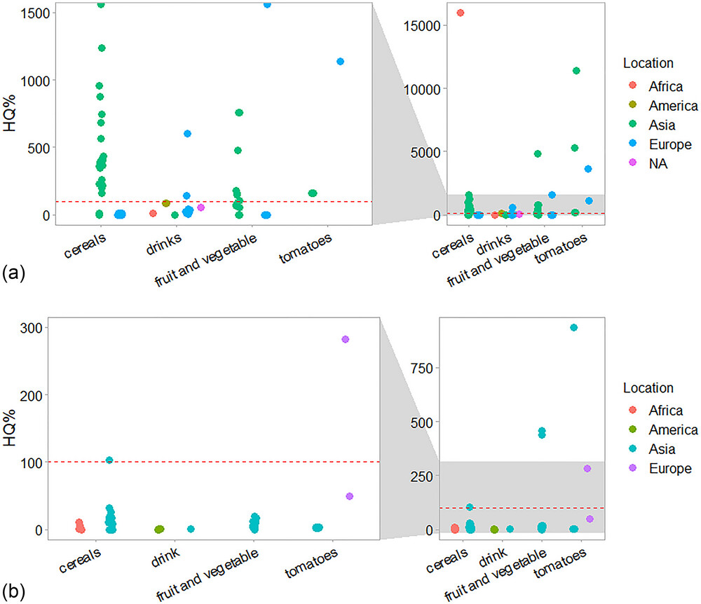
Nilai Hazard Quotient (HQ%) akibat paparan mikotoksin bervariasi antar komoditas (sereal, minuman, buah-sayuran, tomat) dan lokasi, dengan beberapa kasus terutama pada sereal dan tomat jauh melebihi ambang batas aman (garis merah).

Beberapa strategi yang saat ini banyak diteliti untuk menghadapi racun ini antara lain:

  1. Fungisida
    Bahan kimia antijamur dapat digunakan di lapangan untuk mencegah pertumbuhan jamur Alternaria pada tanaman. Namun, penggunaannya harus hati-hati agar tidak menimbulkan residu berbahaya lain.
  2. Biokontrol
    Pendekatan ramah lingkungan dengan memanfaatkan mikroorganisme baik yang bisa menghambat pertumbuhan Alternaria atau mengurangi produksi racunnya.
  3. Prediksi dan Monitoring
    Dengan model prediksi berbasis cuaca dan data penyimpanan, kita bisa memperkirakan kapan kondisi ideal bagi jamur untuk tumbuh. Dengan begitu, petani dan peternak bisa mengambil langkah pencegahan lebih awal.
  4. Manajemen Pascapanen
    Penyimpanan hasil panen dalam kondisi kering, sejuk, dan berventilasi baik bisa mencegah perkembangan jamur. Kadar air biji-bijian harus dijaga rendah agar jamur tidak mudah berkembang.

Bagaimana dengan Konsumen?

Mungkin muncul pertanyaan: kalau racun ini ada di pakan ternak, apakah otomatis masuk ke makanan kita? Jawabannya, ada kemungkinan. Produk hewan seperti susu, daging, atau telur bisa mengandung residu bila hewan mengonsumsi pakan yang terkontaminasi.

Namun, sistem keamanan pangan modern, terutama di Eropa dan negara-negara maju, sudah memasukkan mycotoxins ke dalam daftar pengawasan rutin. Artinya, makanan yang sampai ke pasar biasanya sudah melalui uji keamanan.

Meski begitu, di negara berkembang, masalah ini bisa lebih serius karena sistem pengawasan dan pengendalian mungkin belum seketat itu.

Kenapa Kita Harus Peduli?

Ada dua alasan besar:

  1. Kesehatan – paparan jangka panjang, meski dalam jumlah kecil, bisa menimbulkan efek serius bagi manusia.
  2. Ketahanan pangan – jika pakan ternak terkontaminasi, maka produktivitas peternakan bisa menurun, harga pangan naik, dan pasokan berkurang.

Dengan populasi manusia yang terus meningkat, memastikan pakan dan pangan bebas dari kontaminasi mycotoxins adalah langkah penting menjaga ketersediaan makanan sehat dan terjangkau.

Masa Depan Penanganan Alternaria Mycotoxins

Para ilmuwan sedang berupaya mengembangkan solusi yang lebih efektif. Beberapa arah penelitian yang menjanjikan antara lain:

  • Strain mikroba baru yang bisa menghancurkan racun.
  • Deteksi cepat berbasis biosensor untuk mengetahui kontaminasi sebelum produk dipasarkan.
  • Penerapan teknologi pascapanen canggih, misalnya penggunaan ozon atau radiasi cahaya tertentu untuk menekan racun.

Semua ini diharapkan bisa membantu menciptakan sistem pangan yang lebih aman di masa depan.

Racun jamur Alternaria memang kecil dan tak terlihat, tapi dampaknya bisa sangat besar, baik bagi kesehatan manusia, hewan ternak, maupun ekonomi peternakan.

Solusinya bukan sekadar menunggu hingga masalah muncul, melainkan melakukan pencegahan sejak awal: dari lahan pertanian, penyimpanan, hingga sistem pengawasan pangan.

Sebagai konsumen, kita juga bisa ikut berperan dengan mendukung praktik pertanian dan peternakan yang aman serta mendorong penerapan regulasi ketat terkait keamanan pangan.

Dengan begitu, kita bisa memastikan makanan yang sampai di meja makan bukan hanya bergizi, tetapi juga benar-benar aman dari ancaman racun jamur tersembunyi.

Baca juga artikel tentang: Ikan Budidaya Lebih Bersih: Peluang Besar untuk Peternak Ikan Masa Depan

REFERENSI:

Zhang, Yimin dkk. 2025. Occurrence, toxicity, dietary exposure, and management of Alternaria mycotoxins in food and feed: A systematic literature review. Comprehensive Reviews in Food Science and Food Safety 24 (1), e70085.

Leave a Comment

Alamat email Anda tidak akan dipublikasikan. Ruas yang wajib ditandai *

Scroll to Top